En esta ayudantía
te presentamos un ejercicio resuelto de electromagnetismo sobre cálculo de Campo
Magnético y Fuerza Magnética.
Ejercicio resuelto de Campo Magnético y Fuerza Magnética
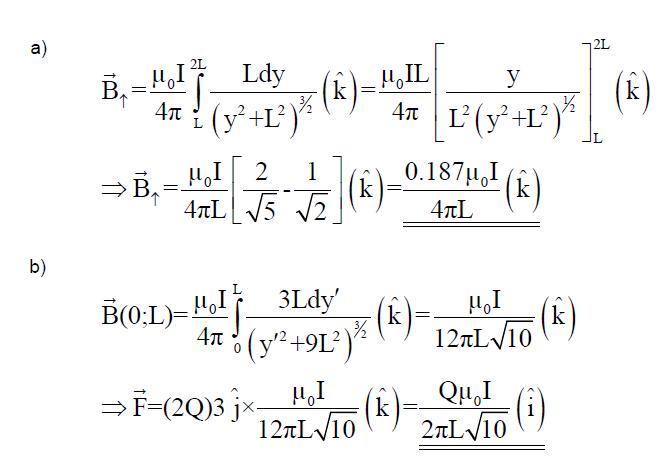
En el plano XY se tiene un
conductor rectilíneo, de longitud L, paralelo al eje y por  x = 3L, y que conduce una corriente
constante I en sentido y positivo. Además, una carga puntual +2Q,
que tiene una velocidad instantánea V
= 3 ˆj cuando está en la posición r = (0;L). 
Determinar:
a) El campo
magnético producido por el conductor rectilíneo en el punto de coordenadas
(2L;0).
b) La fuerza
magnética que el conductor ejerce sobre la carga puntual.
Desarrollo
Entradas Relacionadas
Otras entradas relacionadas sobre electromagnetismo que pueden interesarte las puedes visitar haciendo clic en los siguientes
post:
Bibliografía Relacionada
Bibliografía
complementaria a tema de estudio en el siguiente enlace: 
 
   
 
 
No hay comentarios:
Publicar un comentario