En esta ayudantía de ecuaciones diferenciales
aprenderás a encontrar la solución de Ecuaciones de Diferencias
lineales No Homogéneas.
Resolución de Ecuaciones de diferencias lineales no homogéneas
Solución:
Ejemplo:
1. Buscar
la solución homogénea “Xn(k)”, entonces igualamos a 0.
Ecuación
Característica:
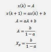
2. Buscar
Solución No homogénea:
Solución General:
Ejercicio
1. x(k+2)=3x(k)+4; x(0)=1; x(1)=2
Entonces g(k)= 4
Solución General:
Entradas Relacionadas
Otras entradas relacionadas que pueden interesarte las puedes visitar
haciendo clic en los siguientes post:
- Separación de Variables (Ecuaciones Diferenciales)
- Factor Integrante (Ecuaciones Diferenciales)
- Solución de Ecuaciones Diferenciales lineales Homogéneas
- Solución de Ecuaciones diferenciales lineales homogéneas
- Ecuaciones diferenciales no homogéneas
Bibliografía Relacionada
Bibliografía
complementaria a tema de estudio en el siguiente enlace:
- Libros y material de Algebra (Pruebas, apuntes, ejercicios resueltos)
- Libro Introducción al Álgebra Lineal
No hay comentarios:
Publicar un comentario