En esta ayudantía de ecuaciones diferenciales
aprenderás a encontrar la solución de Ecuaciones diferenciales
lineales No Homogéneas.
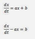
Resolución de Ecuaciones diferenciales lineales no homogéneas
Solución:
Ejemplo:
1. Buscar
la solución homogénea “Xh(t)”, entonces igualamos a 0.
Ecuación
Característica:
2. Buscar Solución No homogénea (Solución
Particular):
Solución General:
Entradas Relacionadas
Otras entradas relacionadas que pueden interesarte las puedes visitar
haciendo clic en los siguientes post:
- Separación de Variables (Ecuaciones Diferenciales)
- Factor Integrante (Ecuaciones Diferenciales)
- Solución de Ecuaciones de Diferencias lineales Homogéneas
- Solución de Ecuaciones Diferenciales lineales Homogéneas
- Ecuaciones de diferencia lineales no homogéneas
Bibliografía Relacionada
Bibliografía
complementaria a tema de estudio en el siguiente enlace:
- Libros y material de Algebra (Pruebas, apuntes, ejercicios resueltos)
- Libro Introducción al Álgebra Lineal
No hay comentarios:
Publicar un comentario